Expected Income Tax Payable FY 2021-22
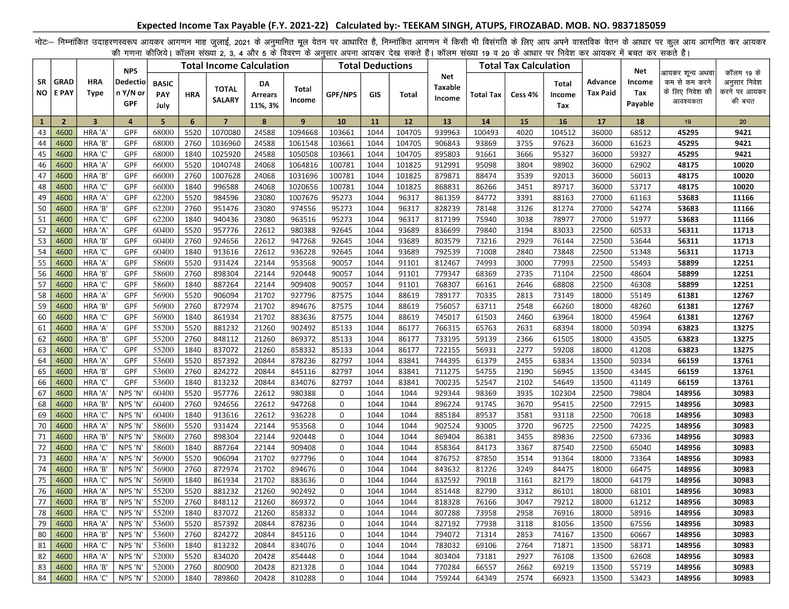
उपरोक्त पीडीएफ फाइल में सभी ग्रेड-पे/लेवल (ग्रेड-पे 4200/लेवल-6, ग्रेड-पे 4600/लेवल-7,ग्रेड-पे 4800/लेवल-8, ग्रेड-पे 5400/लेवल-9) में कार्यरत शिक्षकों एवं (ग्रेड-पे 1800/लेवल-1, ग्रेड-पे 1900/लेवल-2, ग्रेड-पे 2000/लेवल-3, ग्रेड-पे 2000/लेवल-3, ग्रेड-पे 2400/लेवल-4) में कार्यरत शिक्षणेत्तर कर्मचारियों का वित्तीय वर्ष 2021-22 कर-निर्धारण वर्ष 2022-22 के लिए आयकर आगणन में सहायता हेतु अनुमानित आय की गणना कर आयकर आगणित किया गया है। उक्त पीडीएफ में आप-
1. कॉलम सं0 2 से अपना ग्रेड-पे चुन लें।
2. कॉलम सं0 3 से अपने एच0आर0ए0 की श्रेणी चुन लें।
3. कॉलम सं0 4 से अपनी श्रेणी अर्थात जीपीएफ अथवा एनपीएस कट रहा है तो NPS 'Y' या एनपीएस नहीं कट रहा है तो NPS 'N' चुन लीजिये।
4. कॉलम सं0 5 से अपनी श्रेणी में जुलाई 2021 मंे प्राप्त मूल वेतन चुन लीजिये।
5. आयकर आगणन देखने के उपरान्त कॉलम सं0 19 के माध्यम से आपको कितने निवेश की आवश्यकता है? देख सकते हैं।
6. कॉलम सं0 19 के आधार पर निवेश करने पर आपको आयकर में कितनी बचत होगी यह कॉलम सं0 20 से जान सकते हैं।
उपरोक्त पीडीएफ फाइल में अंकित डाटा सावधानी पूर्वक सही अंकित करने का प्रयास किया है फिर भी यदि कोई विसंगति आप पाते हैं तो पीडीएफ फाइल में अंकित मोबाइल नंबर पर बता सकते हैं। जिससे अपेक्षित संशोधन किया जा सके।
 

 
 
 
 
 
